LOW-INDUCTANCE CORC® SOLENOID MAGNETS
Advanced Conductor Technologies has developed high-current, low inductance solenoid magnets, wound from CORC® cables and wires that allow for high current ramp rates of over 1 T/s. The low magnet inductance and the ability of CORC® conductors to share current between tapes results in more stable operation, easier detection of the onset of a quench and more reliable magnet protection.
CORC® solenoids are available as high-field inserts within conventional low-temperature superconducting (LTS) magnets.
![]() | ![]() |
| Left: CORC® insert solenoid with 100 mm bore. Right: Voltage over the CORC® solenoid as a function of current at different magnetic fields generated by the LTS outset. The 14 T LTS outsert and CORC® insert generated a combined peak magnetic field of 16.77 T. | |
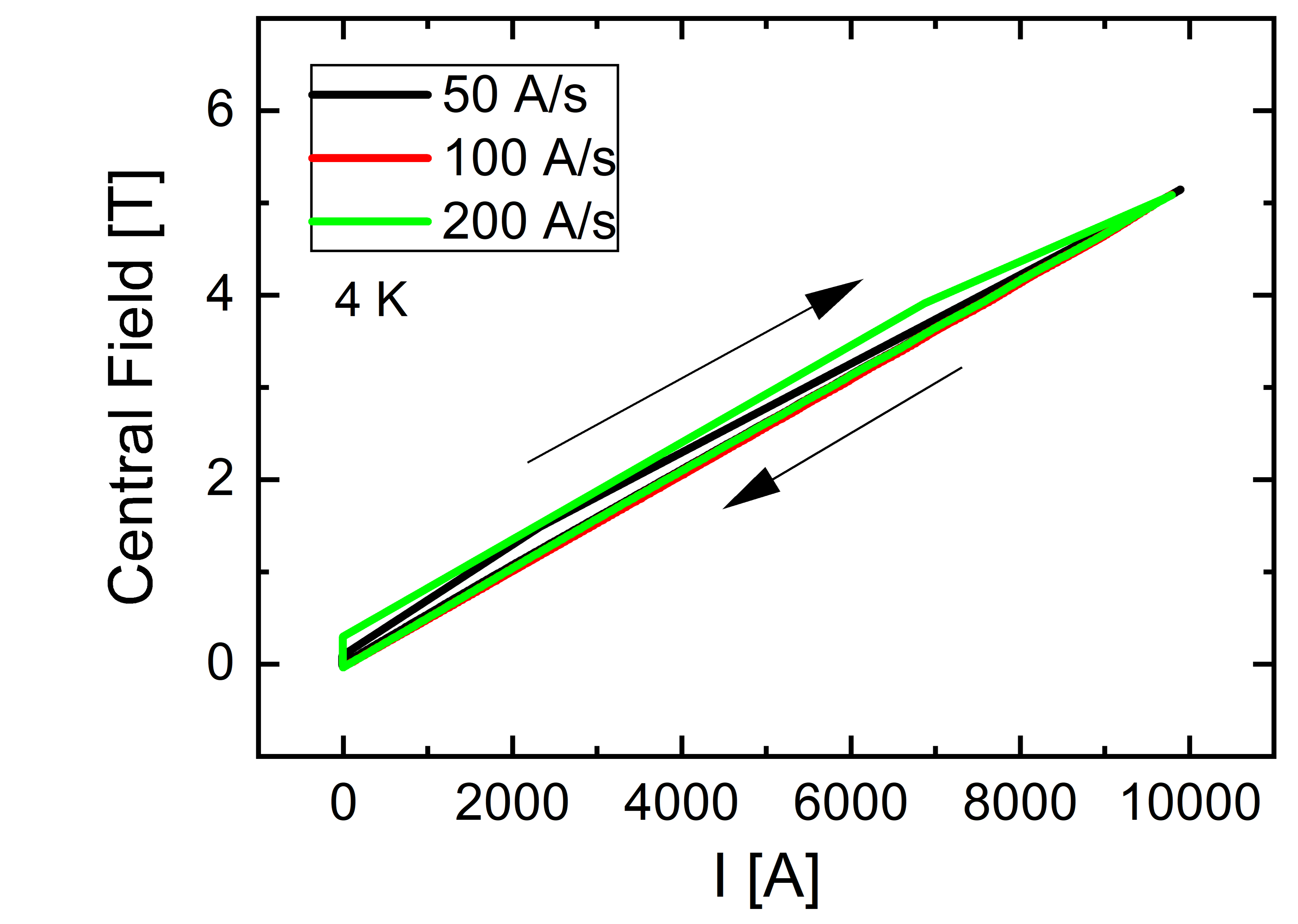
Stand-alone CORC® solenoids are available for operation in liquid helium or using cryogenic helium gas at elevated temperatures. Advanced Conductor Technologies has demonstrated the technology of operating two CORC® solenoids in series, in which the inner coil contains three CORC® wires wound in parallel.
![]() | ![]() |
| Left: Stand-alone CORC® solenoid wound from a CORC® wire containing REBCO tapes with local dropouts. Right: Voltage as a function of current of the 70 mm bore solenoid at 25 K, generating a peak magnetic field of 4.8 T at 4,500 A. | |
![]() | ![]() |
| Left: Cross-section of a series-connected pair of CORC® solenoids. Right: Winding of the CORC® insert solenoid in which three CORC® wires are operated in parallel. | |

| Stand-alone CORC® solenoid | CORC® insert solenoid | |||
|---|---|---|---|---|
| Outsert Magnetic Field | 0 T | 8.75 T | 12 T | |
| Outsert Clear Bore | - | - | 120 mm | 170 mm |
| CORC® Insert Bore | 50 mm | 100 mm | 50 mm | 100 mm |
| Current | 8,000 A | 11,000 A | 5,600 A | 8,300 A |
| Central Field | 12 T | 12 T | 17 T | 22 T |
Conceptual designs of a 40 T CORC® solenoid, in which several CORC® coils are operated within an LTS outsert, and a 20 T large-bore stand-alone CORC® solenoid have been developed.
![]() | ![]() |
| Left: Central magnetic field of a 50 mm bore, 40 T hybrid CORC® solenoid operating at 11,000 A. Right: Central magnetic field of a 1.2 m bore, 20 T CORC® solenoid operating at 25,000 A. | |








